Deneme Serisi 200/1

₺760,00
Tüm vergiler dahil
KDV Oranı: %10
Deneme Serisi 200/1
Stok Kodu: 1234-1-1-2-1-1-1-1-1-1-1-1-1-1-1-1-1-1-1-1-1-2-1-1-1-1-1-1-1-1-1-3-3-1-1
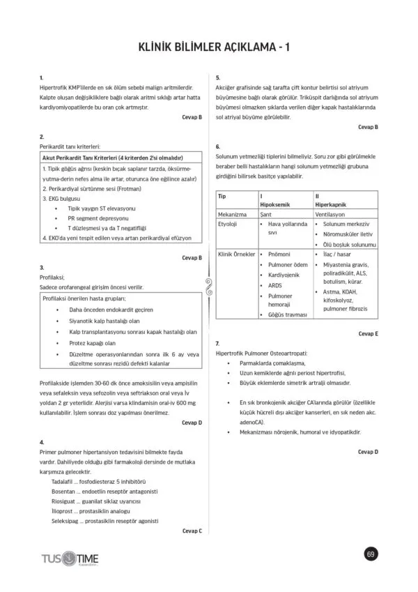
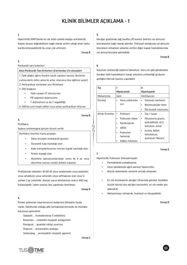
Fiziksel Ürün
Miktar
1
Ürün Açıklaması
Deneme Serisi 200/1 için açıklama daha sonra güncellenecektir.
Benzer Ürünler
Bu kategorideki diğer ürünler




